Portfolio Review: The Science Of Investing
PORTFOLIO REVIEW: THE SCIENCE OF INVESTING Your Reason in Focus – Aug 2016

“Data show that over time investments work better than investors. This is true because emotions, such as fear or greed or exuberance, influence decision making. Whether it’s real estate or stocks or bonds or gold or silver, it is emotionally easy to buy high because of exuberance or sell low because of fear.”
- Doug Lennick, think2perform.com
Success in investing is achieved by making good decisions consistently. Good decision making is tied to informed, rational and well-reasoned investor behavior. Our goal in providing investment advice is to help you clearly define the objectives behind your investment strategy and then to assist in rational decision making in the presence of competing demands and emotions.
We will cover a variety of principles which guide investment strategies.
A FOCUSED WAY TO INVEST
Reason Financial’s investment management mandate is clear: grow and protect the wealth of our clients by applying generally accepted investment principles in coordination with portfolios built on the tenets of Modern Portfolio Theory reflecting the individual risk assessment of each client. Our approach is based on scientific and academic research using logic and sophisticated portfolio management and due diligence. When markets are tough we stay true to our convictions, identify the smart place to access money and manage decision making in a rational way.
INVESTMENTS WORK

Source: J.P. Morgan Asset Management, Dalbar, Inc.
Over the last twenty years annual average returns for all asset classes have performed better than general inflation - as well as performing better than the average investor. Historically, the financial markets have rewarded long-term investors who have deployed asset allocation strategies consistent with their values and objectives.
Millions of participants buy and sell securities each day representing average daily dollar volume of $447.3 billion dollars. On average, there are 98.6 million trades per day setting the prices of the many securities which are out there to invest in. This is a zero-sum game. Meaning, for every buyer there is a seller and for every winner a loser. Often, investors attempt to beat the market by taking advantage of pricing “mistakes” by converting that information into higher returns. Too often, these various approaches prove costly and ineffective. Markets move at the speed of data, and data moves faster than we can imagine.[i]
INVEST SMARTER
We define Investing as the implementation of a diverse portfolio of securities focused on values, objectives and risk tolerance. A variety of research studies have been done to attempt to measure the contributions to overall investment performance of various factors. Those factors include: asset allocation, security selection and market timing. Various results have been obtained as you would expect from different studies, however, they are all in agreement on one important point – asset allocation is the single biggest contributor to investment performance over time. The most well-known attempt to measure this is known in the investing world as the BHB Study. It found that 93.6% of the variation in a portfolio’s quarterly return is explainable by asset allocation with the remainder being tied to active management strategies such as market timing and stock selection. Over time 93% of your performance is going to come from effective asset allocation with only 7% coming from speculative techniques.
Invest smarter by focusing on the primary determinant of success, asset allocation.
SIMPLE TAKEAWAYS FROM THE ABOVE
Don’t try to outsmart the market. The power of efficient markets in a connected world makes it difficult for investors to outsmart other participants through stock picking or market timing. As evidence, only 17% of US equity mutual funds have outperformed their benchmarks over the past 15 years.[ii]
Resist chasing past performance. Some investors select mutual funds based on past returns. However, funds that have outperformed in the past do not always persist as winners. In fact, 83% of them will fail in that endeavor. Past performance alone provides little insight into a fund’s ability to outperform in the future.[iii]
Avoid market timing. You never know which market segments will outperform from year to year. By holding a globally diversified portfolio covering various asset classes, investors are well positioned to capture returns wherever they occur.
Structure is the strategy. Successful investing means not only targeting asset class diversification, but also managing risks which may needlessly compromise performance. Avoidable risks include holding too few securities, acting on market predictions in areas like interest rate movements and relying solely on information from third-party analysts or rating services. To all these risks, diversification is an essential countermeasure.
THE BASICS OF ASSET ALLOCATION
Asset allocation is the idea that there are a variety of asset classes which when combined with one another, will generate higher than expected returns with less volatility over time than an individual asset will be able to achieve on its own. The graph below provides a visual representation of this. We build portfolios with this in mind.

The CAL line is the return that an investor should expect based on a measurement of Risk as defined by Standard Deviation. The Tangency Portfolio is the most efficient portfolio possible for any given level of risk, and is obtained by combining the Individual Assets represented by the gold dots in various proportions to match up against a given risk tolerance. One important point to remember is that because individual assets do not have normally distributed returns this process is academic and provides a sound framework, but is not meant to be an absolute.
The relationship of different asset classes to one another is important. Asset classes don’t move the same at all times. As the graph shows, there are a variety of assets with various performance numbers which all differ. The extent to which the movements in one asset class can be explained by the movement of another is called correlation.

Source: Barclays Inc., Bloomberg, Cambridge Associates, J.P. Morgan Asset Management
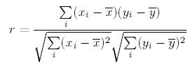
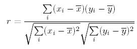
Positive correlation – moving in the same direction based on events and data as represented by readings trending towards 1.00. Negative correlation – moving opposite directions based on events and data as represented by negative numbers trending towards -1.00. Non-correlation – moving independently based on events and data represented by numbers trending towards 0.00. Provided below is the mathematical representation of how correlation is calculated:

We manage portfolios by utilizing academic and scientific rigor to build an asset allocation strategy for your particular risk tolerance. In an effort to stick to the “basics" of asset allocation we will now look at the non-academic factors that generate higher expected returns.
MANAGE FEAR AND GREED
Most human beings struggle to separate their emotions from investing. Markets go up and down. Reacting to current market conditions may lead to making poor investment decisions at the worst times.
We are experts in preparing you for the certainty of uncertainty and make ourselves available to help you make good financial decisions. We are here to help you address questions or concerns about risk tolerance, market movements, changes to long-term objectives, significant short term events, etc. At the end of the day we need to manage our emotions so that we can focus on what matters most.
FOCUS ON WHAT YOU CAN CONTROL
1.) Create an investment plan to fit your needs and risk tolerance.
2.) Properly structure your portfolio.
3.) Broad diversification.
4.) Reduce expenses and turnover.
5.) Minimize taxes.
Holding both Certified Financial Planning (CFP®)* and Accredited Investment Fiduciary (AIF®) credentials reinforces our commitment to helping you focus on what you can control and making sure your best interests are front and center.
“People who reflect on their values before making a decision of almost any kind, including a financial decision, make better decisions. Values reflection won’t make you smarter, but values reflection will make you more rational.” Doug Lennick, think2perform.com
Our purpose is to enable a lifetime of rational, informed and well-reasoned financial decisions. We welcome your input and ask that you contact us with any questions or to schedule a meeting.
Yours Truly,

Reason Financial
DISCLOSURE
All information is believed to be from reliable sources; however we make no representation as to its completeness or accuracy. All economic and performance data is historical and not indicative of future results. Market indices discussed are unmanaged. Investors cannot invest in unmanaged indices. Additional risks are associated with international investing, such as currency fluctuations, political and economic instability and differences in accounting standards.
Investing in securities in emerging markets involves special risks due to specific factors such as increased volatility, currency fluctuations and differences in auditing and other financial standards. Securities in emerging markets are volatile and can decline significantly in response to adverse issuer, political, regulatory, market, or economic developments.
An index is a statistical measure of change in an economy or a securities market. In the case of financial markets, an index is an imaginary portfolio of securities representing a particular market or a portion of it. Each index has its own calculation methodology and is usually expressed in terms of a change from a base value. Thus, the percentage change is more important than the actual numeric value. An investment cannot be made directly into an index.
Investing in fixed income securities involves credit and interest rate risk. When interest rates rise, bond prices generally fall. Investing in commodities may involve greater volatility and is not suitable for all investors. Investing in a non-diversified fund that concentrates holdings into fewer securities or industries involves greater risk than investing in a more diversified fund. The equity securities of small companies may not be traded as often as equity securities of large companies so they may be difficult or impossible to sell. Neither diversification nor asset allocation assure a profit or protect against a loss in declining markets. Past performance is not an indicator of future results.
Securities offered through 1st Global Capital Corp., Member FINRA and SIPC. Bruce Rawdin-Baron, Steven W. Pollock, Sean Storck and Nicole Albrecht are Registered Representatives of 1st Global Capital Corp. Investment advisory services, including RBFI portfolios offered through Rawdin-Baron Financial, Inc. IMS platform accounts offered through 1st Global Advisors, Inc. Rawdin-Baron Financial, Inc. and 1st Global Capital Corp. are unaffiliated entities. Rawdin-Baron Financial, Inc. is a Registered Investment Adviser. Placing business through 1st Global Insurance Services. Registration does not imply a certain level of skill or training. We currently have individuals licensed to offer securities in the states of Arizona, California, Illinois, Indiana, Kansas, Massachusetts, Michigan, New York, Oregon and Washington. This is not an offer to sell securities in any other state or jurisdiction. CA Department of Insurance License: Bruce Rawdin-Baron #0736631, Steven W. Pollock #OE98073, Sean Storck #0F25995, Matthew Anderson #0F21959 and Nicole Albrecht #0F99962. Certified Financial Planning (CFP®)* Certificants are Steven W. Pollock, Sean P. Storck and Matthew J. Anderson.
Copyright © 2016 Reason Financial 4747 Morena Blvd. Suite 102, San Diego, CA 92117
[i] In US dollars. Global electronic order book (largest 60 exchanges). Source: World Federation of Exchanges. [ii] Outsmarting Other Investors Is Tough, Source: Dimensional Fund Advisors LP [iii] Outsmarting Other Investors Is Tough, Source: Dimensional Fund Advisors LP [iv] Education.howthemarketswork, Source: http://education.howthemarketworks.com/glossary/modern-portfolio-theory-mpt/